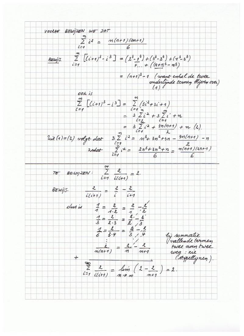
We hernemen nog eens het bovenstaande bewijs (in eigen handschrift!).

Hieronder vind je het antwoord op de vraag:
hoeveel is de som van de omgekeerden van de driehoeksgetallen en de viervlaksgetallen?

Bewijs van de formule voor de som van de omgekeerden van de driehoeksgetallen:

Bewijs van de formule voor de som van de omgekeerden van de viervlaksgetallen:

Nog een toemaatje over DRIEHOEKSGETALLEN.

En wist je dat er een algemene formule bestaat voor het n-de p-hoeksgetal?

En ook nog een toemaatje over VIERVLAKSGETALLEN.

TOEMAATJE: omgekeerden van de  reële oplossingen van een vergelijking

Maak jouw eigen website met JouwWeb